OrDB
Dataset
  Data
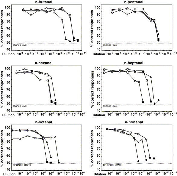
Olfactory sensitivity for aliphatic aldehydes in mice
Performance of CD-1 mice in discriminating between various dilutions of an aliphatic n-aldehyde and the odorless solvent mineral oil. Each data point represents the percentage of correct choices from a total of 100 decisions per individual animal. The three different symbols represent data from each of the three individual animals tested per odorant. With C4-C8, preexposed animals are indicated by a circle and a square, respectively, and the non-preexposed animal is indicated by a triangle. Filled symbols indicate dilutions that were not discriminated significantly above chance level (binomial test, p > 0.05).
Other categories referring to Olfactory sensitivity for aliphatic aldehydes in mice
Behavioral Trial.Dataset   (1)
Revisions: 2
Last Time: 7/11/2006 3:24:26 PM
Reviewer: Nian Liu
Owner: Nian Liu